Article
citation information:
Medvedev,
V., Frolov, V., Lapkovsky, S., Gladskyi, M. Average speed
optimization of electric vehicles with charging stops. Scientific Journal of Silesian University of Technology. Series
Transport. 2025, 128, 133-144. ISSN:
0209-3324. DOI: https://doi.org/10.20858/sjsutst.2025.128.8
Vadym MEDVEDEV[1],
Volodymyr FROLOV[2],
Serhii LAPKOVSKY[3],
Maksym GLADSKYI[4]
AVERAGE SPEED
OPTIMIZATION OF ELECTRIC VEHICLES WITH CHARGING STOPS
Summary. The article discusses
the issue of driving an EV over long distances when additional charging of the
high-voltage battery is required. The optimization of driving speed between
charges is considered. If the speed is too low, the electric car will spend too
much time covering the distance between charges, and if the speed is too high,
the charging time will increase significantly. In the article, the data on the
charge consumption from the driving speed of eight EVs are considered and
reduced to a single denominator. Both serial EVs and EVs manufactured in
Ukraine in single versions were included in the review. Based on these data,
the optimal speed of movement was calculated. It was found that these speeds
largely depend on the average power of the next charging session on the way. An
empirical formula for calculating the optimal driving speed with correction
factors that depend on the design of the electric vehicle was obtained. It was
also found that with large values of the preparatory and final time of the
charging session, the average driving speed can increase by 40%.
Keywords: EV average speed, EV energy consumption, average charging session
1. INTRODUCTION
Legislative
initiatives stimulate the growth of the number of electric vehicles in many
countries. For example, in New Zealand, the renewal of public policy regarding
electric vehicles has significantly increased the interest of the population in
its purchase [1]. The total number of EVs in 2016 was slightly more than a
million worldwide, and then in 2022, it came to about 18 million. Ukraine also
has a number of laws and regulations that encourage buyers of electric
vehicles. These are the preferential import of electric cars from abroad,
preferential registration, reduction of the price of a mandatory insurance
policy, a separate electricity tariff for public charging stations, and tax
benefits for manufacturers of charging stations and electric buses [2].
Currently, the total number of electric cars in Ukraine is slightly more than
100,000.
Increasing
the capacity of electric vehicle batteries allows for long trips. Most electric
car models after 2020 have a range of at least 200 km on a single charge,
according to the EPA cycle. For example, Audi e-tron GT can travel 425 km on
one charge, BMW iX – 630 km, Cadillac Lyriq – 494 km,
Citroën ë-C4 – 350 km, Dacia Spring Electric – 230 km, Fiat 600e – 406 km, Tata
Nexon.ev – 312 km. The increase in the number of
charging stations, the decrease in the cost of batteries, and the significant
increase in the efficiency of electronic systems also actively contribute to
long-distance trips.
Long
trips are characterized by the fact that the distance traveled
is greater than the mileage of a particular electric vehicle on a single
charge. Thus, the time spent on long trips by electric car is divided into two
components:
1. movement;
2. battery charging process:
a.
Search for a station in the parking lot;
b.
Сonnecting and
disconnecting the cable, initializing the charging station;
c. Сharging process.
The average speed of covering the distance
between two points is calculated as the weighted harmonic average of all
speeds, including the speed equal to zero, during the charging process. When
driving an electric car on long-distance trips within technical and legal
limits, it is necessary to reduce both time components to achieve the maximum
average speed.
2. MAIN PART
The
significant growth of the charging infrastructure [3], which, for example, in
Ukraine does not stop even despite the war [4-7], allows us to assume that the
distance between charging stations at each stage of the route is less than the
mileage of a specific model of an electric car on one charge. Accordingly, we
will not take into account the capacity limitations of electric vehicle
batteries in the calculations. This removes the restriction on movement speed
due to the lack of capacity.
At
the same time, the calculations will be carried out only within the limits of
speeds allowed by the traffic rules of Ukraine for the movement of vehicles
outside populated areas. To assess the charger's performance, the possibility
of increasing the power of chargers beyond the limits set by manufacturers for
specific brands of electric vehicles will be assumed in the calculations. This
assumption is true given the fact that manufacturers are constantly increasing
the capacity of electric vehicle charging ports [8].
Electricity
consumption by electric vehicles is traditionally calculated in kilowatt-hours
per 100 kilometers (kW/100km), and light electric
vehicle meters in Wh/km. Some manufacturers, such as
Nissan, may display consumption in kilometers per
kilowatt-hour (km/kWh). This indicator shows how many kilometers
an electric car can travel on one kilowatt-hour. To calculate the instantaneous
consumption, it is more convenient to divide the current power drawn from the
battery by the speed of movement.
Costs
during uniform movement are divided into two components: electricity
consumption by traction electric motors and electricity consumption by onboard
systems. During research on a self-converted ZAZ Tavria Elektro, it was found
that at speeds of less than 10 km/h, the power consumed by the traction
motors does not exceed 300 watt. At the same time, about 1 kilowatt
can be consumed for the electric vehicle's own needs, such as headlights,
electric cabin heating, air conditioning, and power steering. This consumption
practically does not depend on the speed of movement.
When
the electric vehicle is parked, the instantaneous power consumption is infinite, because, according to the formula,
the current power must be divided by the speed, which in this case will be
equal to zero. With the start of movement, costs fall to some minimum value.
But with the further increase in speed, the resistance to movement and,
accordingly, costs begin to increase again. Therefore, the dependence of the
instantaneous power consumption on the speed of the electric vehicle has a
lower extremum.
When
traveling at a steady speed, in addition to powering its systems, the electric
car will expend energy to overcome losses. It can be classified
by speed as follows:
1.
Linear dependences on the speed of movement:
rolling resistance of the wheels, the force of resistance to the movement of an
electric vehicle on an inclined section of the road.
2.
Nonlinear dependence on the speed of movement of
the third degree: aerodynamic resistance.
3.
Nonlinear dependences on the speed of the fourth
stage: losses in the electric motor, losses in the power units of the electric
motor controllers, losses in the wiring and battery cells.
Losses in an electric motor depend on rotations and load. There is an
extremum of minimal losses.
Losses in wiring and battery cells are linear depending on the power
consumed. However, the power required for movement is related to the speed by a
fourth-degree dependence.
Accordingly,
the power required for the movement of an electric vehicle is related to the
speed of movement by a fourth-degree nonlinear dependence. The power required
to move at a certain constant speed is directly proportional to the consumption
of electricity. This allows us to approximate the experimental power plots with
polynomials of the fourth order.
To analyze the consumption of electricity by an electric
vehicle, it is necessary to know either the power or the instantaneous
consumption of electricity at different speeds. In various literary sources,
authors provide information in different forms. We will list the most
characteristic ones, in which it was additionally indicated that the
measurements were carried out without significant fluctuations in the
topography of the road and comfortable weather conditions - without moisture,
gusty wind, and low temperatures. Since the temperature of the outside air
significantly affects the mileage of an electric vehicle [9], measurements at
temperatures below +15°С were not taken into account.
1.
Tesla Model S [10]: a graph of the mileage of an
electric car with different battery capacities on a single charge is given. The
85kWh version has a range of 130 miles at
5 mph (miles/hour), 420 miles at
28 mph, 300 miles at 55 mph and
140 miles at 100 mph.
2.
Renault Kangoo Electrcite [11]: given average consumption at speeds from 5
to 80 km/h. Measurements were carried out in different conditions and
summarized in a general graph.
3.
Renault Zoe [12, 14]: data on the maximum
mileage of an electric vehicle on one charge at different speeds are given. The
tests were carried out on the same road section with the same weather
conditions. It is shown that the mileage decreases with an increase in speed,
which is subject to an exponential law. It is indicated that the maximum
theoretical range of an electric vehicle with a 22-kilowatt-hour battery
can exceed 1000 km.
4.
Nissan Leaf [13]: graphs of the maximum mileage
of an electric vehicle on a single charge at different speeds are given.
Additional options are calculated if the cabin is heated not from the main
traction battery. It is indicated that turning on the cabin heater with a power
of 5 kW at a speed of 20 km/h can reduce the mileage by a factor of
3.
5.
Daewoo Lanos Elektro EV (independent conversion)
[14]: measured power consumption in the range of 40 to 90 km/h in
10 km/h increments.
6.
Peugeot Partner EV [14]: measured electricity
consumption in the range from 50 to 80 km/h when driving on the Ukrainian
highway M05 (international E95).
7.
The ZAZ Slavuta
Elektro (independent conversion) [15]: measurements were made in the widest
range - from 20 to 120 km/h. In the power part, a serial asynchronous
electric motor with a special type of winding was used.
8.
Volkswagen E-up! [16]: At the economic driving
competition, it was determined that the costs at speeds of 15 and 38 km/h
are the same and reach 7 kW/100km, the extremum (minimum) is at a speed of
25 km/h and reaches 6 kW/100km. Consumption at a speed of
50 km/h – 8 kW/100km, at 90 km/h – 13 kW/100km, and at
110 km/h – 16 kW/100km. The maximum consumption was at a speed of
130 km/h – 21 kW/100km.
In
the following section, the above numbering of electric vehicles will be used.
Based
on the given data, the function was interpolated
a polynomial of the fourth order. That is, it
can be presented in the form:
(1)
as well V –
instantaneous speed of the electric vehicle, km/h;
a –
interpolation coefficients.
In
some electric cars, the coefficient at the term of the fourth order was equal
to zero since practical measurements were not carried out in the extreme
region, that is, below 30 km/h.
The
electricity consumption in Fig.1 is given in watt-hours per kilometer.




Fig. 1.
Electricity consumption from the speed with the uniform movement
To
simplify the calculation of the charging time of an electric car, we will use
the average charging power. It is calculated as:
(2)
where Tch – total charging time,
hours;
Pst –
the maximum capacity of the charging station, watt;
P{t} – is the instantaneous power function requested
by the BMS module of the electric vehicle, watt.
The
average speed of an electric car is equal to the ratio of the distance traveled to the total time spent. This time consists of
components:
(3)
where Tdr – electric vehicle travel time
between charging stations, hours;
Tpf –
start and switch-off operation time of the charging session, hours;
n –
the number of charging stops on the way;
L –
total distance covered, km;
V – speed of
movement, km/h;
С{V} – electricity
consumption at the corresponding speed to formula (1),
Wh/km.
In
this study, a simplification was made that every charging station has a free
port. However, the start and switch-off operation time of the charging session
is not equal to zero and consists of:
● time
to overcome the access sections from the route to the charging station in both
directions;
● connecting
and then disconnecting the charging cable;
● starting
and stopping the charging station.
Start
and switch-off operation time in the range of 5-20 minutes has quite a strong
influence on the average speed of movement. Its influence increases in direct
proportion when the number of charging stops increases. It is more convenient
to evaluate the influence of the start and switch-off operation time depending
on the time of movement and direct charging.
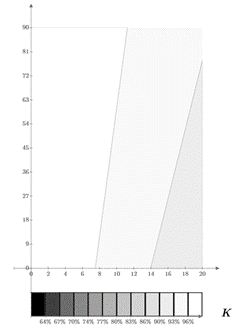
Figure
2 shows that with long distances between charges (more than 250-300 km),
the influence of the start and switch-off operation times is minimal. In the
worst case, it is no more than 10%. The average start and switch-off operation
time is within 4-8 minutes. Accordingly, the share of its influence on the
speed of overcoming the entire distance does not exceed 4%.
The
influence of the start and switch-off operation time significantly increases
with short distances between charging stations. At a distance of 50 km and
the mean value Tpf 8 minutes its effect is 12-16% depending
on the charging time. In the worst cases, the coefficient of start and
switch-off operation time K can reach
0.6.
The
equation (3) does not include the distance between charging
stations. It is taken into account by adding start and switch-off operation
time. In further research, we will assume that the distance between charging
stations is more than 300 km, and the start and switch-off operation time
is less than 6 minutes. In this case, the factor K can be neglected.



Fig. 2.
Coefficient of start and switch-off operation time when moving 30 and 180
minutes, respectively (Tch
– total charging time, minutes; Tpf
– start and switch-off operation time of the charging session, minutes)
Currently,
in Ukraine, AC charging stations with a power of up to 22 kW (in limited
cases, 43 kW) and DC 50 kW (in some cases, 250 kW) are widely
available. Not all electric vehicles described in this study have the ability
to charge in the entire range of capacities indicated. Therefore, for large
capacities for some brands of electric cars, the further calculation will be
purely theoretical. The speed of movement along the lower limit will depend on
the available experimental data. The upper speed limit of the electric car will
be limited by the traffic rules of Ukraine at the level of 130 km/h.
There
is an extreme of the average speed of movement, because at high speeds the
charging time increases significantly. Conversely, if the speed of movement on
the distance is too slow, the time to overcome it increases significantly.
The
average speed of movement over long distances with several stops for charging
is equal to L/Tall. By
substituting equations (1) and (3) into the
average speed formula, we get the average speed function depending on the speed
of movement over the distance and the average power of the charging session. We
find the extremum of this function by the method of finding the zero value of
the derivative function related to the speed of movement.
Analyzing the
derivative, it was found that the interpolation of the optimal speed of any of
the electric vehicles from the power of the charging session is possible by a
polynomial function of the third order. The extremum was sought by the
graphical method. The results of the calculations are low-scattered, which is
shown in Figure 3. The scatter range of optimal speeds for various models of
electric vehicles reaches 20-30 km/h. All eight electric vehicles fall
into this corridor between the blue and red lines.
We
brought the road test conditions to driving on a flat surface, at almost the
same temperatures without rain and other precipitation. The difference between
the tests was only in the aerodynamics of the electric car bodies and the
efficiency of their internal systems. This difference creates a small
difference between electric cars in the optimal speed of movement depending on
the average power of the next charging session.


Fig. 3. Limits
of the optimal speed of an electric vehicle depending on the average power of
the charging session (blue - low-efficiency electric vehicles;
red - most efficient electric vehicles)
Thus,
the optimal speed of movement of any electric vehicle can be calculated by the
formula:
(4)
where δ - correction factors
characterizing the aerodynamic features and efficiency of the power plant of a
certain model of an electric vehicle.
Each
of the correction factors correlates with individual performance indicators.
For example, δ3
characterizes the aerodynamics of the body, and δ0 – the total efficiency of the
power plant and consumption of auxiliary systems. Table 1 shows the values of
the coefficients δ for electric
vehicles that were studied.
Tab.
1
Optimum speed correction factors for average
charging session power from 3.5 to 40 kW
|
Model |
Correction factors |
|||
|
δ3∙10-4 |
δ2∙10-3 |
δ1 |
δ0 |
|
|
Tesla Model
S |
0 |
19 |
1,04 |
-1,5 |
|
Renault Kangoo electrcite * |
19 |
107 |
1,46 |
6 |
|
Renault Zoe |
-12 |
-85 |
-1,43 |
-3 |
|
Nissan Leaf |
-5 |
-37 |
-0,76 |
-8 |
|
Daewoo Lanos Electric EV * |
17 |
112 |
1,73 |
4 |
|
Peugeot
Partner EV * |
-1 |
-38 |
-2,26 |
13 |
|
ZAZ Slavuta Elektro |
-15 |
-94 |
-1,75 |
9,5 |
|
Volkswagen
E-up! |
3 |
62 |
2,73 |
-14 |
* – power limits up to 30 kW.
If
you move at a higher speed than the speed calculated by formula (4),
the total speed of overcoming the entire route decreases due to the charging
time. Accordingly, there is a minimum power of the charging session, at which
the speed limit will be regulated exclusively by the rules of the road. In
Ukraine, the maximum permitted speed is limited to 130 km/h [17]. Not all
of the electric vehicles listed in Table 1 have the technical ability to move
at this speed. Therefore, Table 2 shows only some of them. It is this
power of the charging session, together with a road speed of 130 km/h,
that provides the maximum average speed.
Tab.
2
Minimum power of a charging session for
driving between charges at a speed of 130 km/h
|
Model |
The power of the charging session Pof, kW |
|
Tesla Model
S |
46 |
|
Renault Zoe |
54 |
|
Nissan Leaf |
94 |
|
ZAZ Slavuta Elektro |
91 |
|
Volkswagen
E-up! |
43 |
If
the power of the charging session is equal to or greater than that given in Table
2, then when overcoming the distance between charges, the driver will not limit
the speed for the sake of economy. The data are given without taking into
account the coefficient of start and switch-off operation time and limitations
of the battery capacity.
3. CONCLUSIONS
Most
researchers study rerouting [18-21] or charging queue interaction [22, 23] to
optimize EV traffic. We draw conclusions from a more practical option, where an
EV travels a considerable distance along the road under current infrastructure
conditions. Our conclusions are based only on practical measurements of
electricity consumption by different models of electric vehicles.
There
is an extremum of electric vehicle speed between charging stations, at which
the average speed of covering the entire distance becomes maximum. The EVs
average speed on long trips depends on the power of the charger, the efficiency
of the electric car, and the start and switch-off operation time.
If
the start and switch-off operation time is not taken into account, then the
average speed of the electric car is not affected by the distance between the
charging stations.
In
the worst cases, but those that still make sense for further travel, the
average speed decreases to:
● 2-3
times - due to the power of the charging station;
● 40%
– with large values of start and switch-off operation time;
● 30-40
km/h - due to various electric vehicle designs.
To
drive an electric vehicle at a speed of 90 km/h, it must have a charger
capacity of at least 12 kW. And for movement at a speed of 120 km/h –
at least 31 kW. At the same time, the average speed of overcoming the
entire distance will be an average of 35 km/h and 50 km/h,
respectively.
A
charging session power of less than 10 kWh is impractical for
long-distance travel. This is due to the fact that in this case the average
speed of the electric vehicle will be below 40 km/h.
References
1.
Broadbent G.H., G.I. Metternicht,
T.O. Wiedmann. 2021. “Increasing Electric Vehicle Uptake by Updating Public
Policies to Shift Attitudes and Perceptions: Case Study of New Zealand”. MDPI Energies 14(10): 2920. DOI:
10.3390/en14102920.
2.
Китіна Марина
2024. “Послідовна
підтримка
розвитку
електромобільності
з боку держави”. Виставка-форум
“Розподілена
генерація
Green:expo 2024”. [In Ukrainian: Kytina M.
2024. „Consistent support for the development of
electromobility by the state”. Exhibition-forum "Distributed generation
Green:expo 2024"]. Available at:
https://www.greenexpo.com.ua/prezentatsii_spikeriv/ukr_invest.pdf.
3.
Roth A. 2021. “Low-carbon transport policies for
Ukraine”. BE Berlin Economics GmbH. Available at:
https://www.lowcarbonukraine.com/en/low-carbon-transport-policies-for-ukraine.
4.
Китіна Марина
2022. “Як стрімко зростає кількість зарядок в Україні: Ionity, Flash і Toka”. Autogeek.
[In Ukrainian: Kytina M. 2022. “How rapidly the
number of chargers in Ukraine is growing: Ionity,
Flash and Toka”. Autogeek]. Available at:
https://autogeek.com.ua/green-mobility-news-iak-strimko-zrostaie-kilkist-zariadok-v-ukraini-ionity-flash-i-toka.
5.
Муджирі Євгеній
2023. “Yasno E-mobility встановили дві зарядні станції біля прикордонних пунктів у Львівській і Закарпатській областях”. Autogeek. [In Ukrainian:
Mudzhyri Ye. 2023. “Yasno E-mobility installed two charging stations near
border points in Lviv and Zakarpattia regions”. Autogeek].
Available at:
https://autogeek.com.ua/yasno-e-mobility-vstanovyly-dvi-zaryadni-stancziyi-bilya-prykordonnyh-punktiv-u-lvivskij-i-zakarpatskij-oblastyah.
6.
Кулік В., М. Китіна, А. Ткаченко, А. Бойко.
2023. “Яких типів зарядних станцій потребує наявний парк електромобілів в Україні. Куди ринок буде рухатись далі? Частина
1”. Інформаційно-аналітична група Autoconsulting. [In Ukrainian: Kulyk V., M. Kytina,
A. Tkachenko, A. Boiko. 2023.
“What types of charging stations does the existing fleet of electric vehicles
in Ukraine need?”. Information and analytical group Autoconsulting].
Available at: http://autoconsulting.ua/article.php?sid=53861.
7.
Шимон-Давід Назар
2023. “Нова мережа зарядних станцій Viwatt обрала операційну систему GO
TO-U”. Go To-u. [In Ukrainian:
Shymone-Davyda N. 2023. “The new network of Viwatt charging stations has chosen the Go To-u operating
system”. Go To-u]. Available at:
https://go-tou.com/ua/news/new-viwatt-charging-station-network-has-chosen-gotou-operating-system.
8.
Heejung
Jung, Rebecca Silva, Michael Han. 2018. “Scaling Trends of Electric Vehicle
Performance: Driving Range, Fuel Economy, Peak Power Output, and Temperature
Effect”. World Electric Vehicle Journal: 9(4): 46. DOI:
10.3390/wevj9040046.
9.
Kumar Parveen, Arya Bhat, Vivek Tripathi. 2021.
“Decoding Electric Vehicle Range: Rated versus Actual Mileage”. World
Resources Institute India. Available at:
https://wri-india.org/blog/decoding-electric-vehicle-range-rated-versus-actual-mileage.
10.
Loveday Eric. 2013. “Here's how speed impacts
range of the Tesla Model S”. InsideEVs.
Available at:
https://insideevs.com/news/317340/heres-how-speed-impacts-range-of-the-tesla-model-s.
11.
Dubie Jean-Marc. 2007. “Testing a PHEV car “The Kangoo ER Hybrid”. Self-magic. Available at:
http://www.auto-magique.com/roulez-electrique-avril-2007.htm.
12.
Myrenaultzoe.
“Maximising range in a Zoe”. Nosig – Renault Zoe Blog. Available at:
http://myrenaultzoe.com/index.php/2013/08/maximising-range-in-a-zoe.
13.
Abel-it. “Leaf range”. Abel-it. Available
at: http://www.abel-it.co.uk/leaf_range.html.
14.
Курий І.В., Г. Івашкевич, С. Коломієць.
2018. “Витрати електроенергії електромобілів”. ГО “Клуб “Електро-автосам”. [In Ukrainian: Kurij I.V.,
G. Ivashkevich, S. Kolomiec. 2018. “Electricity
consumption of electric vehicles”. NGO "Club "Electro-avtosam"]. Available at:
http://electroavtosam.com.ua/2018/01/rashod-e-lektroe-nergii-e-lektromobilej.
15.
Полтавець В. 2013. “Славута Електро (Київ, від Вячеслава М)”. ГО “Клуб “Електро-автосам”. [In Ukrainian: Poltavec V. 2013. Slavuta Electro
(Kyiv, from Vyacheslav M). NGO "Club "Electro-avtosam"].
Available at:
http://electroavtosam.com.ua/elektromobili/elektromobili-nashih-uchastnikov/slavuta-e-lektro-kiev-ot-vyacheslav-m.
16. Ветров Я. 2013. “Журналістський
"Кубок націй"
у Німеччині на електромобілях
Volkswagen e-up! перетворився на справжні перегони”. Авторевью:
21(529). [In Ukrainian:
Vetrov Ju. 2013. “Journalistic "Nations Cup" in Germany on electric
cars Volkswagen e-up! turned into real races. Autoreview 21(529)].
17.
“Про Правила
дорожнього
руху. Із змінами,
внесеними
згідно з Постановами
КМ впродовж
06.01.2005 - 01.04.2025”. Постанова
Кабінетів
міністрів
України:
1306 від 10.10.2001. [In Ukrainian: “About Traffic Rules. With additions from 06.01.2005 to
01.04.2025”. Decree of the Ukraine Ministers Cabinet: 1306 from
10.10.2001]. Available at:
https://zakon.rada.gov.ua/laws/show/en/1306-2001-%D0%BF#Text.
18.
Zähringer
Maximilian, Sebastian Wolff, Jakob Schneider, Georg Balke, Markus Lienkamp.
2022. “Time vs. Capacity – The Potential of Optimal Charging Stop Strategies
for Battery Electric Trucks”. Energies 15(19): 7137. DOI:
10.3390/en15197137.
19.
Wu Xinkai, Xiaozheng
He, Guizhen Yu, Arek Harmandayan, Yunpeng
Wang. 2015. “Energy-Optimal Speed Control for Electric Vehicles on Signalized
Arterials”. IEEE Transactions on Intelligent Transportation Systems 16(5):
2786-2796. DOI: 10.1109/TITS.2015.2422778.
20.
Schoenberg Sven, Falko Dressler. 2023. “Reducing
Waiting Times at Charging Stations With Adaptive Electric Vehicle Route
Planning”. IEEE Transactions on Intelligent Vehicles 8(1): 95-107. DOI:
10.1109/TIV.2022.3140894.
21.
Schoenberg Sven, Falko Dressler. 2019. “Planning
Ahead for EV: Total Travel Time Optimization for Electric Vehicles”. IEEE
Intelligent Transportation Systems Conference Auckland, New Zealand:
3068-3075. DOI: 10.1109/ITSC.2019.8917335.
22.
Alesiani
Francesco, Nitin Maslekar. 2014. “Optimization of Charging Stops for Fleet of
Electric Vehicles: A Genetic Approach”. IEEE Intelligent Transportation
Systems Magazine 6(3): 10-21. DOI: 10.1109/MITS.2014.2314191.
23. Jean
Hassler, Zlatina Dimitrova, Marc Petit, Philippe Dessante. 2021. “Optimization
and Coordination of Electric Vehicle Charging Process for Long-Distance Trips”.
Energies 14(13): 4054. DOI:
10.3390/en14134054.
Received 22.05.2025; accepted in revised form 05.08.2025
![]()
Scientific Journal of Silesian
University of Technology. Series Transport is licensed under a Creative
Commons Attribution 4.0 International License
[1] Department of Manufacturing
Engineering, National Technical University of Ukraine “Igor Sikorsky Kyiv
Polytechnic Institute”, 37, Prospect Beresteiskyi,
Kyiv, Ukraine. Email: vadim.medvedev@ua.fm. ORCID:
https://orcid.org/0000-0002-0439-6909
[2] Department of Manufacturing
Engineering, National Technical University of Ukraine “Igor Sikorsky Kyiv
Polytechnic Institute”, 37, Prospect Beresteiskyi,
Kyiv, Ukraine. Email: v.k.frolov@gmail.com. ORCID:
https://orcid.org/0000-0002-3697-286X
[3] Department of Manufacturing
Engineering, National Technical University of Ukraine “Igor Sikorsky Kyiv
Polytechnic Institute”, 37, Prospect Beresteiskyi,
Kyiv, Ukraine. Email: lapkovsky@ukr.net. ORCID:
https://orcid.org/0000-0002-9870-9231
[4] Department of Manufacturing Engineering, National Technical University of Ukraine “Igor Sikorsky Kyiv Polytechnic Institute”, 37, Prospect Beresteiskyi, Kyiv, Ukraine. Email: gladsky@gmail.com. ORCID: https://orcid.org/0000-0002-4547-7131